Официальное опубликование правовых актов
ОФИЦИАЛЬНОЕ ОПУБЛИКОВАНИЕ
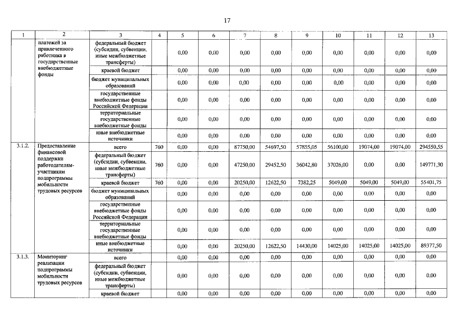
Постановление Администрации Приморского края от 05.03.2018 № 98-па
"О внесении изменений в постановление Администрации Приморского края от 7 декабря 2012 года № 384-па "Об утверждении государственной программы Приморского края "Содействие занятости населения Приморского края на 2013 - 2020 годы"
Номер опубликования: 2500201803060001
Дата опубликования: 06.03.2018
Страница №112 из 183:
Увеличить