Официальное опубликование правовых актов
ОФИЦИАЛЬНОЕ ОПУБЛИКОВАНИЕ
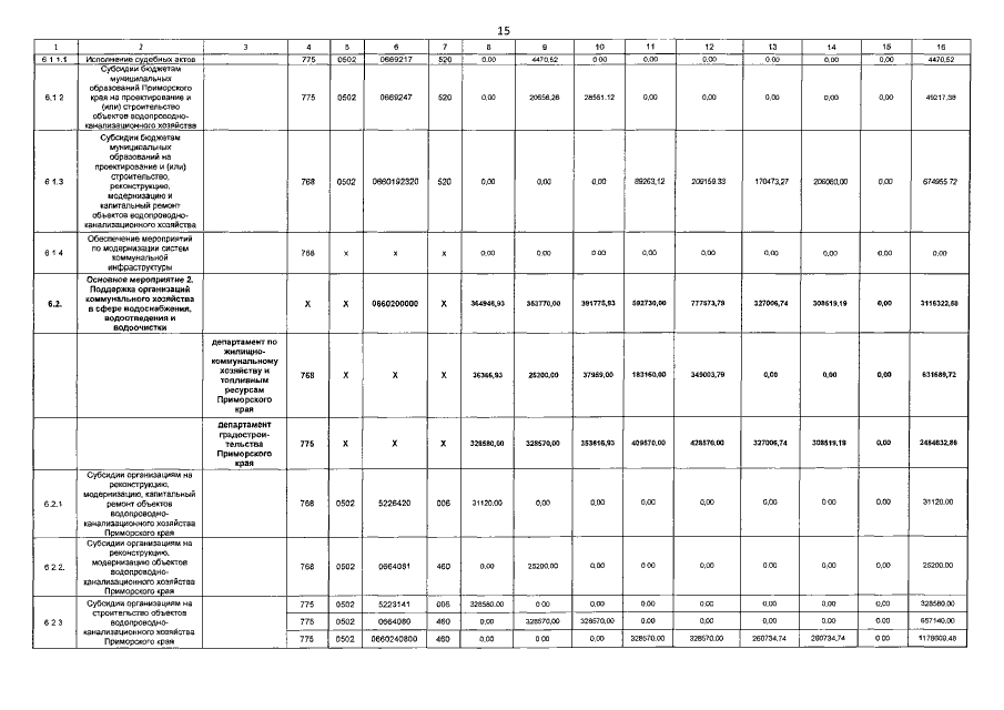
Постановление Администрации Приморского края от 09.02.2018 № 57-па
"О внесении изменений в постановление Администрации Приморского края от 7 декабря 2012 года № 398-па "Об утверждении государственной программы Приморского края "Обеспечение доступным жильем и качественными услугами жилищно-коммунального хозяйства населения Приморского края" на 2013-2020 годы"
Номер опубликования: 2500201802150003
Дата опубликования: 15.02.2018
Страница №28 из 99:
Увеличить