Официальное опубликование правовых актов
ОФИЦИАЛЬНОЕ ОПУБЛИКОВАНИЕ
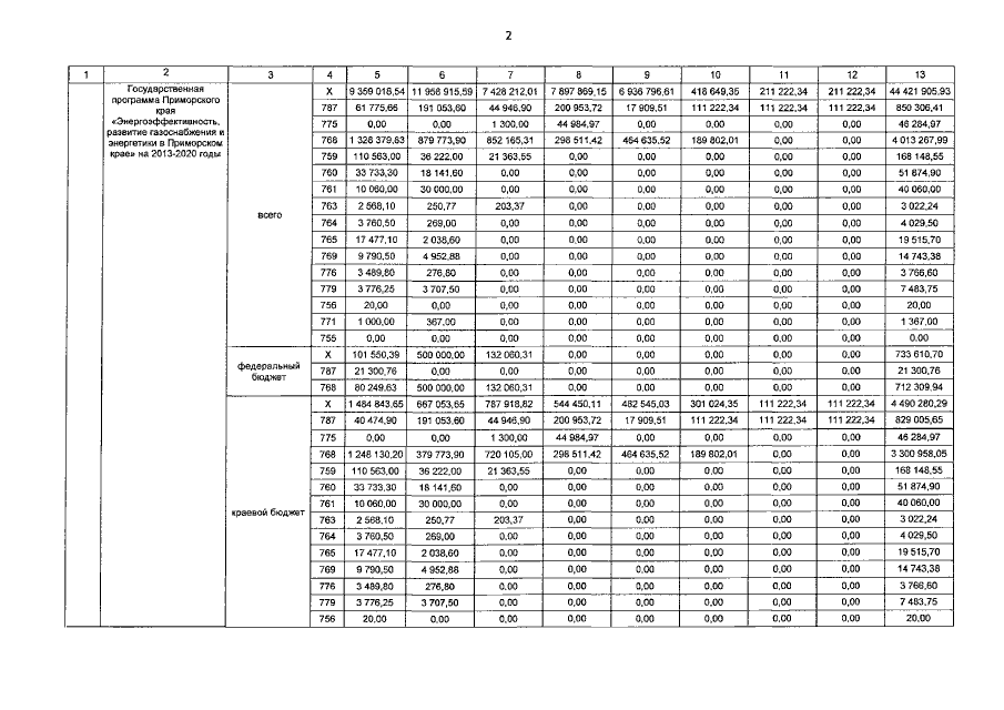
Постановление Администрации Приморского края от 05.02.2018 № 47-па
"О внесении изменений в постановление Администрации Приморского края от 7 декабря 2012 года № 390-па "Об утверждении государственной программы Приморского края "Энергоэффективность, развитие газоснабжения и энергетики в Приморском крае" на 2013-2020 годы"
Номер опубликования: 2500201802060007
Дата опубликования: 06.02.2018
Страница №21 из 37:
Увеличить