Официальное опубликование правовых актов
ОФИЦИАЛЬНОЕ ОПУБЛИКОВАНИЕ
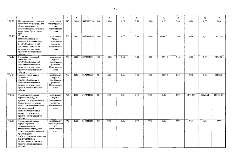
Постановление Администрации Приморского края от 05.02.2018 № 46-па
"О внесении изменений в постановление Администрации Приморского края от 7 декабря 2012 года № 393-па "Об утверждении государственной программы Приморского края "Социальная поддержка населения Приморского края на 2013 - 2020 годы"
Номер опубликования: 2500201802060002
Дата опубликования: 06.02.2018
Страница №125 из 315:
Увеличить