Официальное опубликование правовых актов
ОФИЦИАЛЬНОЕ ОПУБЛИКОВАНИЕ
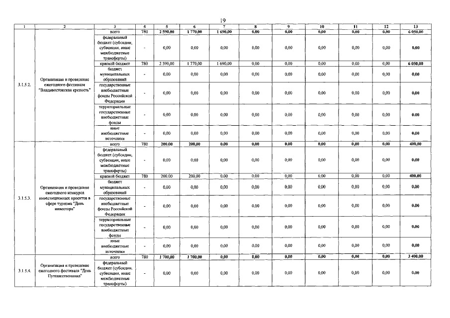
Постановление Администрации Приморского края от 02.02.2018 № 42-па
"О внесении изменений в постановление Администрации Приморского края от 7 декабря 2012 года № 396-па "О государственной программе Приморского края "Развитие туризма в Приморском крае" на 2013-2020 годы"
Номер опубликования: 2500201802050004
Дата опубликования: 05.02.2018
Страница №33 из 51:
Увеличить