Официальное опубликование правовых актов
ОФИЦИАЛЬНОЕ ОПУБЛИКОВАНИЕ
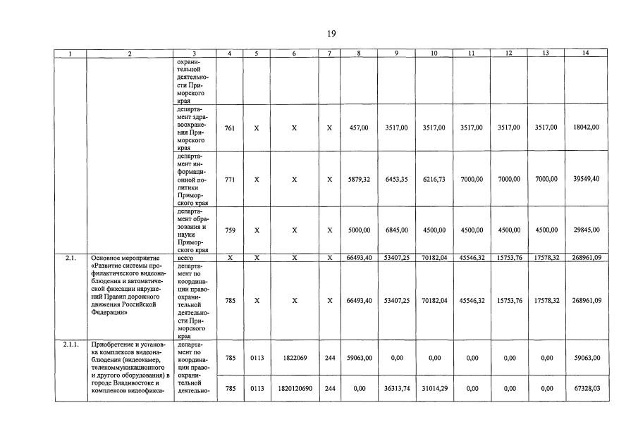
Постановление Администрации Приморского края от 10.01.2018 № 7-па
"О внесении изменений в постановление Администрации Приморского края от 3 декабря 2014 года № 495-па "Об утверждении государственной программы Приморского края "Безопасный край" на 2015-2020 годы"
Номер опубликования: 2500201801110002
Дата опубликования: 11.01.2018
Страница №27 из 88:
Увеличить