Официальное опубликование правовых актов
ОФИЦИАЛЬНОЕ ОПУБЛИКОВАНИЕ
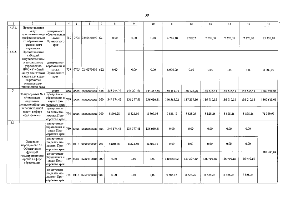
Постановление Администрации Приморского края от 26.12.2017 № 549-па
"О внесении изменений в постановление Администрации Приморского края от 7 декабря 2012 года № 395-па "Об утверждении государственной программы Приморского края "Развитие образования Приморского края" на 2013-2020 годы"
Номер опубликования: 2500201712270020
Дата опубликования: 27.12.2017
Страница №45 из 236:
Увеличить