Официальное опубликование правовых актов
ОФИЦИАЛЬНОЕ ОПУБЛИКОВАНИЕ
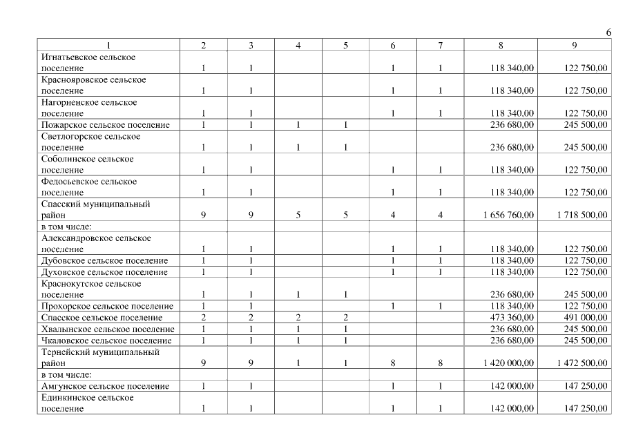
Закон Приморского края от 21.12.2017 № 218-КЗ
"О краевом бюджете на 2018 год и плановый период 2019 и 2020 годов"
Номер опубликования: 2500201712220002
Дата опубликования: 22.12.2017
Страница №1367 из 1421:
Увеличить