Официальное опубликование правовых актов
ОФИЦИАЛЬНОЕ ОПУБЛИКОВАНИЕ
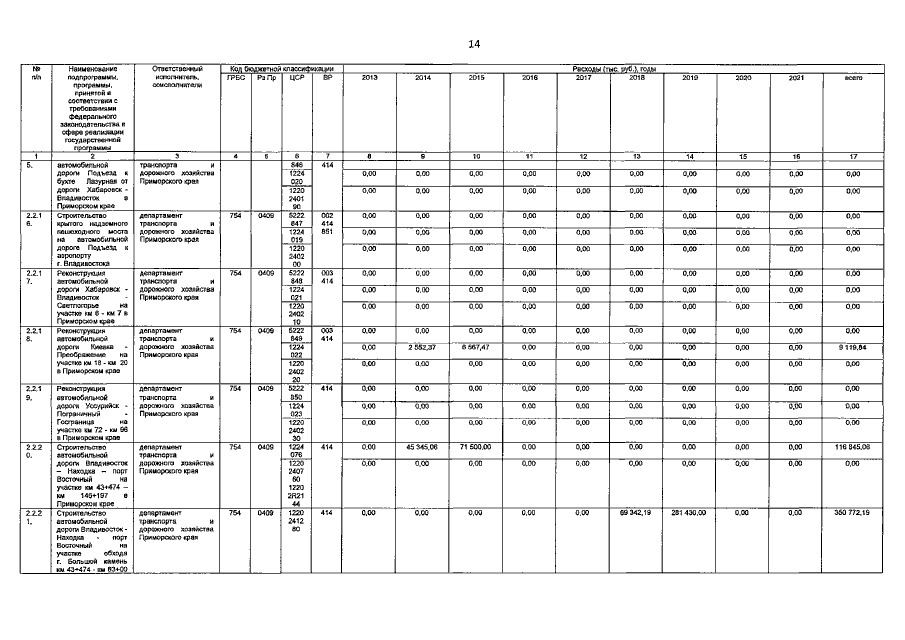
Постановление Администрации Приморского края от 01.12.2017 № 489-па
"О внесении изменений в постановление Администрации Приморского края от 7 декабря 2012 года № 394-па "Об утверждении государственной программы Приморского края "Развитие транспортного комплекса Приморского края" на 2013 – 2021 годы"
Номер опубликования: 2500201712010001
Дата опубликования: 01.12.2017
Страница №25 из 102:
Увеличить