Официальное опубликование правовых актов
ОФИЦИАЛЬНОЕ ОПУБЛИКОВАНИЕ
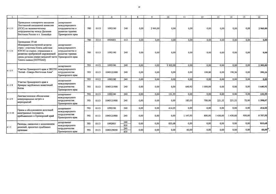
Постановление Администрации Приморского края от 20.11.2017 № 466-па
"О внесении изменений в постановление Администрации Приморского края от 7 декабря 2012 года № 396-па "О государственной программе Приморского края "Развитие туризма в Приморском крае" на 2013-2020 годы"
Номер опубликования: 2500201711200006
Дата опубликования: 20.11.2017
Страница №33 из 71:
Увеличить