Официальное опубликование правовых актов
ОФИЦИАЛЬНОЕ ОПУБЛИКОВАНИЕ
Постановление Администрации Приморского края от 07.09.2017 № 370-па
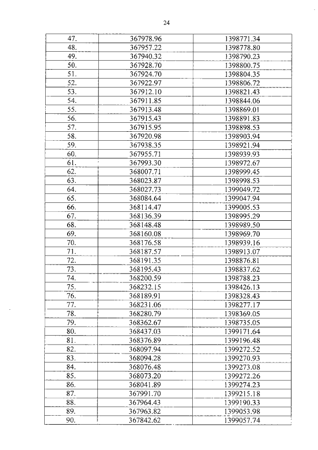
"Об утверждении границ объединенных зон охраны объектов культурного наследия (памятников истории и культуры) народов Российской Федерации регионального значения "Форт №7", "Укрепление "Литер-З" бывшей Владивостокской крепости", "Пороховой погреб № 12", выявленного объекта культурного наследия регионального значения "Конюшня 11-го Её Императорского Величества Вдовствующей Императрицы Марии Федоровны Сибирского стрелкового полка", режимов использования земель и градостроительных регламентов в границах данных зон"
Номер опубликования: 2500201709080007
Дата опубликования: 08.09.2017
Страница №26 из 53:
Увеличить