Официальное опубликование правовых актов
ОФИЦИАЛЬНОЕ ОПУБЛИКОВАНИЕ
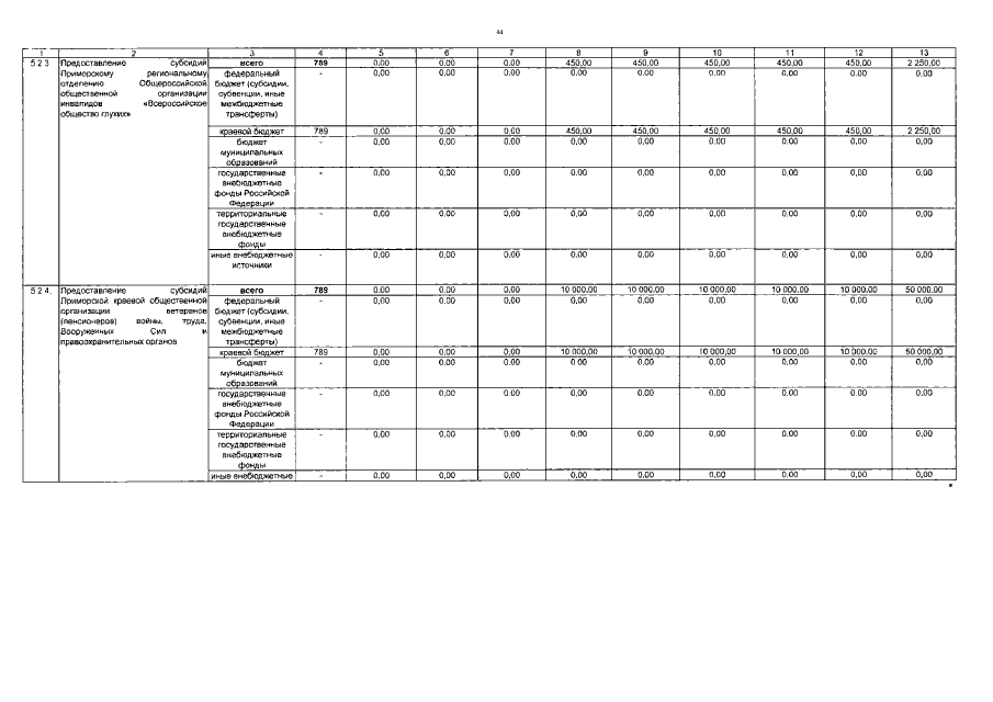
Постановление Администрации Приморского края от 29.08.2017 № 351-па
"О внесении изменений в постановление Администрации Приморского края от 7 декабря 2012 года № 382-па "Об утверждении государственной программы Приморского края "Экономическое развитие и инновационная экономика Приморского края" на 2013-2020 годы"
Номер опубликования: 2500201708300004
Дата опубликования: 30.08.2017
Страница №59 из 59:
Увеличить