Официальное опубликование правовых актов
ОФИЦИАЛЬНОЕ ОПУБЛИКОВАНИЕ
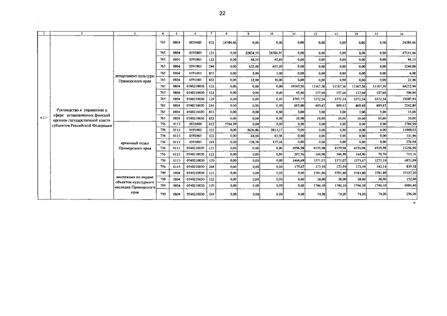
Постановление Администрации Приморского края от 09.06.2017 № 222-па
"О внесении изменений в постановление Администрации Приморского края от 7 декабря 2012 года № 387-па "Об утверждении государственной программы Приморского края "Развитие культуры Приморского края на 2013-2020 годы"
Номер опубликования: 2500201706150003
Дата опубликования: 15.06.2017
Страница №75 из 196:
Увеличить