Официальное опубликование правовых актов
ОФИЦИАЛЬНОЕ ОПУБЛИКОВАНИЕ
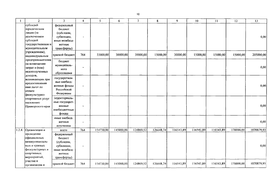
Постановление Администрации Приморского края от 02.05.2017 № 149-па
"О внесении изменений в постановление Администрации Приморского края от 7 декабря 2012 года № 381-па "Об утверждении государственной программы Приморского края "Развитие физической культуры и спорта Приморского края" на 2013-2020 годы"
Номер опубликования: 2500201705030006
Дата опубликования: 03.05.2017
Страница №45 из 88:
Увеличить