Официальное опубликование правовых актов
ОФИЦИАЛЬНОЕ ОПУБЛИКОВАНИЕ
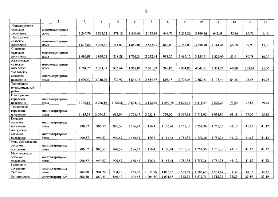
Постановление Администрации Приморского края от 09.02.2017 № 34-па
"О региональных стандартах стоимости жилищно-коммунальных услуг на 2017 год"
Номер опубликования: 2500201702100006
Дата опубликования: 10.02.2017
Страница №10 из 56:
Увеличить