Официальное опубликование правовых актов
ОФИЦИАЛЬНОЕ ОПУБЛИКОВАНИЕ
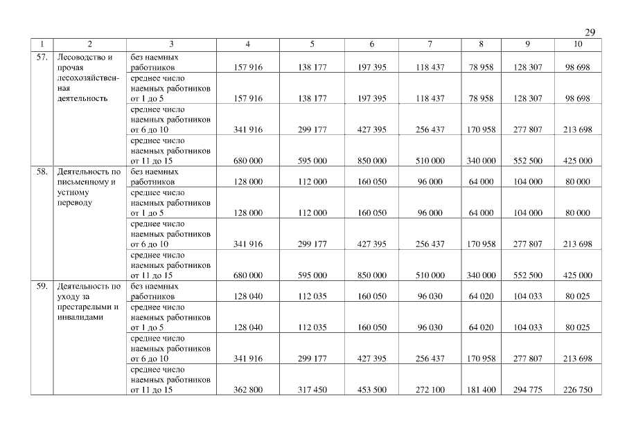
Закон Приморского края от 29.11.2016 № 29-КЗ
"О внесении изменений в Закон Приморского края "О патентной системе налогообложения на территории Приморского края"
Номер опубликования: 2500201611290002
Дата опубликования: 29.11.2016
Страница №31 из 33:
Увеличить