Официальное опубликование правовых актов
ОФИЦИАЛЬНОЕ ОПУБЛИКОВАНИЕ
Постановление Администрации Приморского края от 15.11.2016 № 529-па
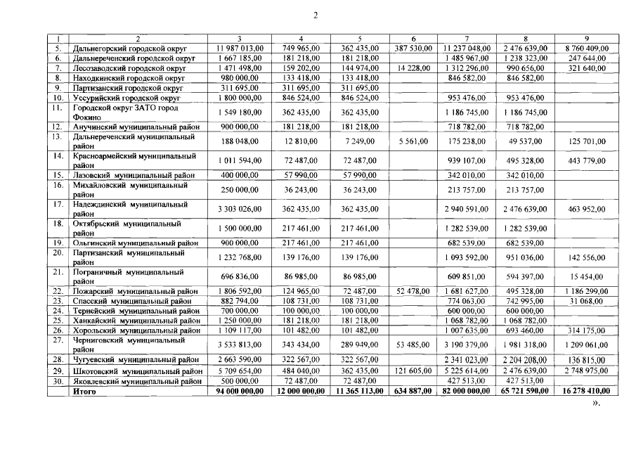
"О внесении изменений в постановление Администрации Приморского края от 4 апреля 2016 года № 128-па "О распределении субсидий из краевого бюджета бюджетам муниципальных образований Приморского края на поддержку муниципальных программ развития малого и среднего предпринимательства на 2016 год"
Номер опубликования: 2500201611150003
Дата опубликования: 15.11.2016
Страница №3 из 3:
Увеличить