Официальное опубликование правовых актов
ОФИЦИАЛЬНОЕ ОПУБЛИКОВАНИЕ
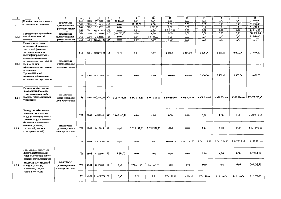
Постановление Администрации Приморского края от 04.08.2016 № 366-па
"О внесении изменений в постановление Администрации Приморского края от 7 декабря 2012 года № 397-па "Об утверждении государственной программы Приморского края "Развитие здравоохранения Приморского края" на 2013 – 2020 годы"
Номер опубликования: 2500201608090008
Дата опубликования: 09.08.2016
Страница №40 из 130:
Увеличить