Официальное опубликование правовых актов
ОФИЦИАЛЬНОЕ ОПУБЛИКОВАНИЕ
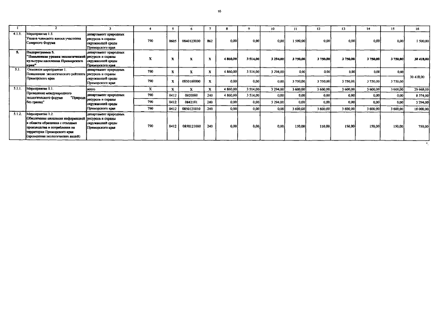
Постановление Администрации Приморского края от 19.07.2016 № 326-па
"О внесении изменений в постановление Администрации Приморского края от 7 декабря 2012 года № 391-па "Об утверждении государственной программы Приморского края "Охрана окружающей среды Приморского края" на 2013 - 2020 годы"
Номер опубликования: 2500201607210010
Дата опубликования: 21.07.2016
Страница №13 из 29:
Увеличить