Официальное опубликование правовых актов
ОФИЦИАЛЬНОЕ ОПУБЛИКОВАНИЕ
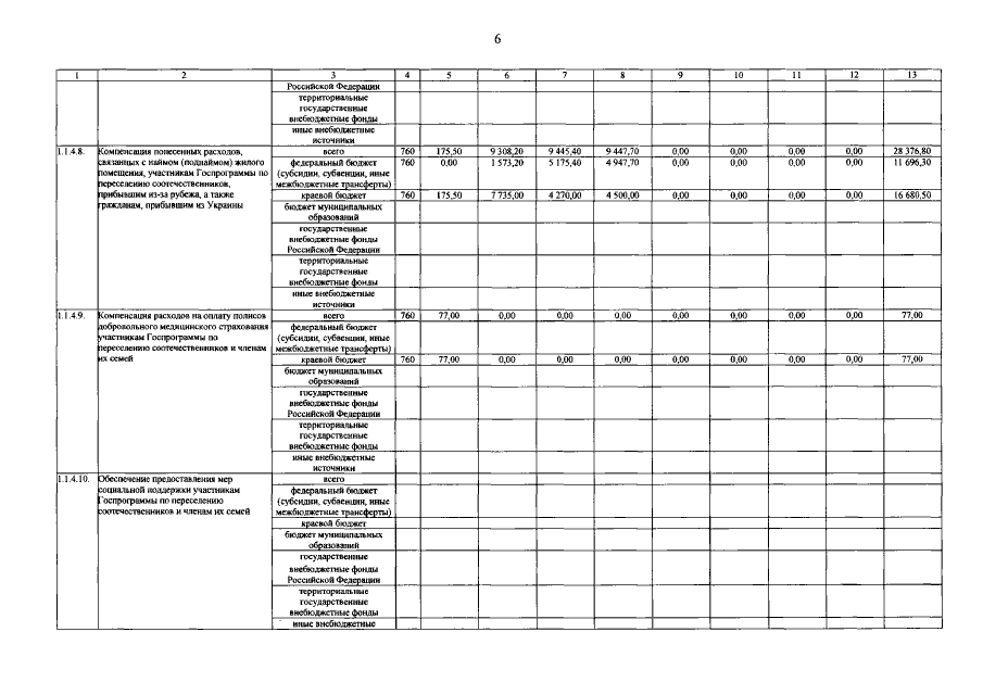
Постановление Администрации Приморского края от 04.07.2016 № 301-па
"О внесении изменений в постановление Администрации Приморского края от 7 декабря 2012 года № 384-па "Об утверждении государственной программы Приморского края "Содействие занятости населения Приморского края на 2013 - 2020 годы"
Номер опубликования: 2500201607060008
Дата опубликования: 06.07.2016
Страница №32 из 72:
Увеличить