Официальное опубликование правовых актов
ОФИЦИАЛЬНОЕ ОПУБЛИКОВАНИЕ
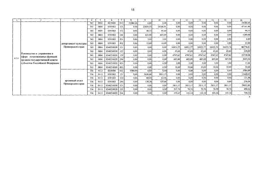
Постановление Администрации Приморского края от 04.07.2016 № 300-па
"О внесении изменений в постановление Администрации Приморского края от 7 декабря 2012 года № 387-па "Об утверждении государственной программы Приморского края "Развитие культуры Приморского края на 2013-2020 годы"
Номер опубликования: 2500201607060004
Дата опубликования: 06.07.2016
Страница №22 из 65:
Увеличить