Официальное опубликование правовых актов
ОФИЦИАЛЬНОЕ ОПУБЛИКОВАНИЕ
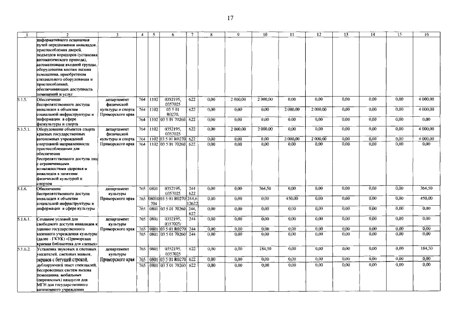
Постановление Администрации Приморского края от 06.06.2016 № 256-па
"О внесении изменений в постановление Администрации Приморского края от 7 декабря 2012 года № 393-па "Об утверждении государственной программы Приморского края "Социальная поддержка населения Приморского края на 2013 - 2020 годы"
Номер опубликования: 2500201606070014
Дата опубликования: 07.06.2016
Страница №87 из 281:
Увеличить