Официальное опубликование правовых актов
ОФИЦИАЛЬНОЕ ОПУБЛИКОВАНИЕ
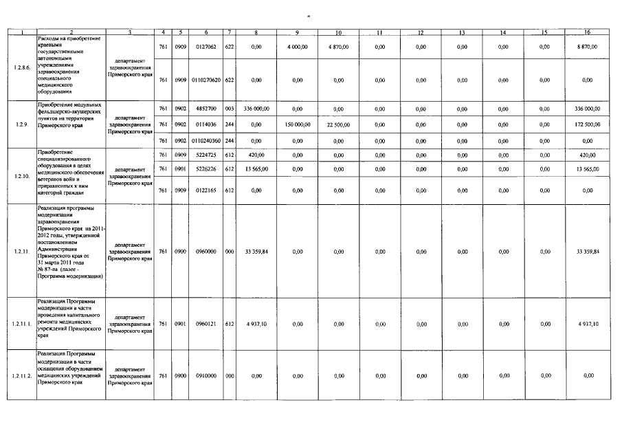
Постановление Администрации Приморского края от 24.05.2016 № 221-па
"О внесении изменений в постановление Администрации Приморского края от 7 декабря 2012 года № 397-па "Об утверждении государственной программы Приморского края "Развитие здравоохранения Приморского края" на 2013 – 2020 годы"
Номер опубликования: 2500201605260003
Дата опубликования: 26.05.2016
Страница №51 из 132:
Увеличить