Официальное опубликование правовых актов
ОФИЦИАЛЬНОЕ ОПУБЛИКОВАНИЕ
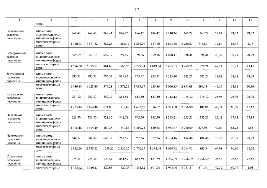
Постановление Администрации Приморского края от 21.03.2016 № 102-па
"О региональных стандартах стоимости жилищно-коммунальных услуг на 2016 год"
Номер опубликования: 2500201603230003
Дата опубликования: 23.03.2016
Страница №52 из 56:
Увеличить