Официальное опубликование правовых актов
ОФИЦИАЛЬНОЕ ОПУБЛИКОВАНИЕ
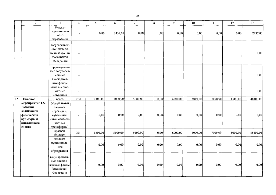
Постановление Администрации Приморского края от 29.01.2016 № 40-па
"О внесении изменений в постановление Администрации Приморского края от 7 декабря 2012 года № 381-па "Об утверждении государственной программы Приморского края "Развитие физической культуры и спорта Приморского края" на 2013-2017 годы"
Номер опубликования: 2500201602010001
Дата опубликования: 01.02.2016
Страница №84 из 126:
Увеличить