Официальное опубликование правовых актов
ОФИЦИАЛЬНОЕ ОПУБЛИКОВАНИЕ
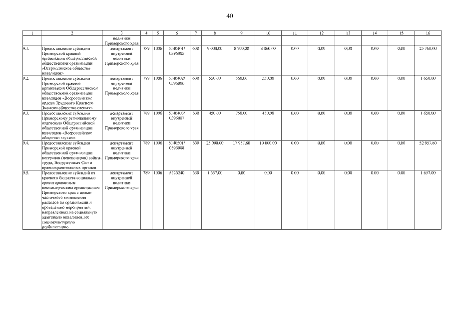
Постановление Администрации Приморского края от 28.12.2015 № 526-па
"О внесении изменений в постановление Администрации Приморского края от 7 декабря 2012 года № 393-па "Об утверждении государственной программы Приморского края "Социальная поддержка населения Приморского края на 2013 - 2017 годы"
Номер опубликования: 2500201512300008
Дата опубликования: 30.12.2015
Страница №132 из 326:
Увеличить