Официальное опубликование правовых актов
ОФИЦИАЛЬНОЕ ОПУБЛИКОВАНИЕ
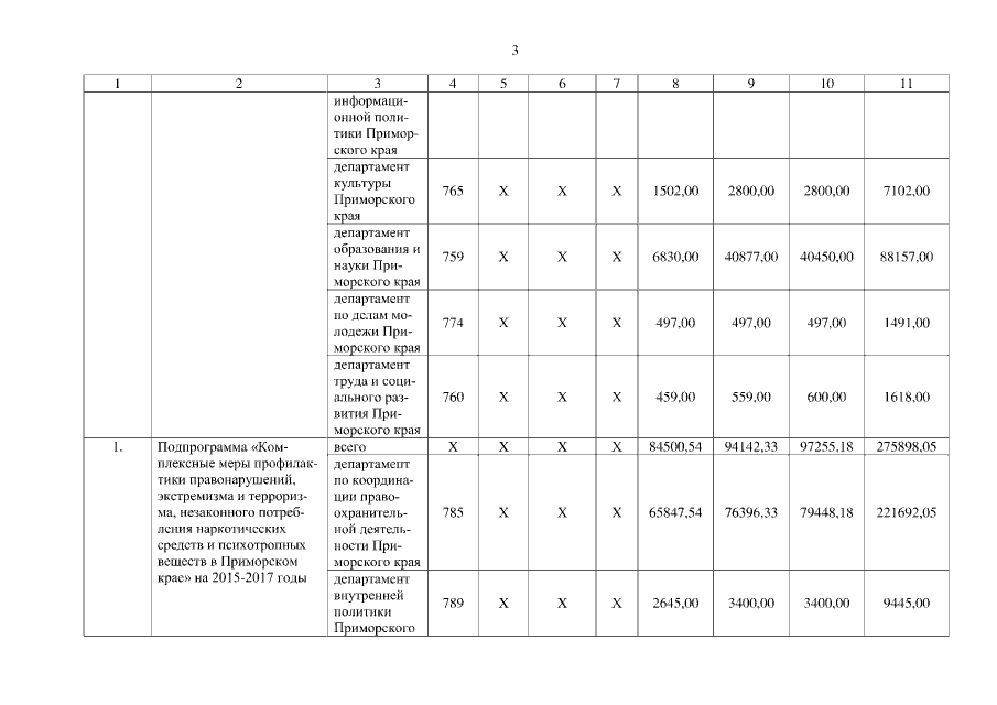
Постановление Администрации Приморского края от 25.12.2015 № 516-па
"О внесении изменений в постановление Администрации Приморского края от 3 декабря 2014 года № 495-па "Об утверждении государственной программы Приморского края "Безопасный край" на 2015-2017 годы"
Номер опубликования: 2500201512280004
Дата опубликования: 28.12.2015
Страница №5 из 70:
Увеличить