Официальное опубликование правовых актов
ОФИЦИАЛЬНОЕ ОПУБЛИКОВАНИЕ
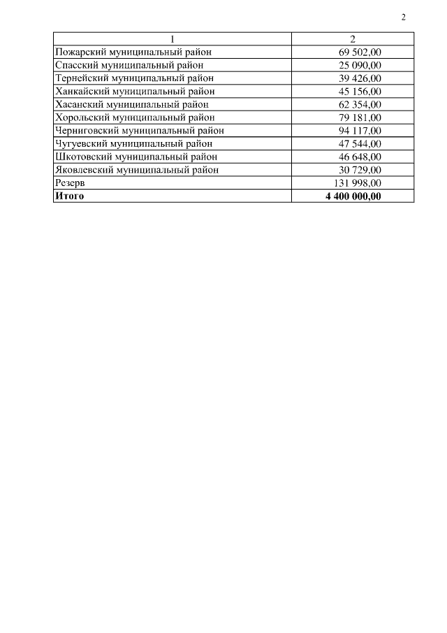
Закон Приморского края от 22.12.2015 № 737-КЗ
"О краевом бюджете на 2016 год"
Номер опубликования: 2500201512240009
Дата опубликования: 24.12.2015
Страница №553 из 595:
Увеличить