Официальное опубликование правовых актов
ОФИЦИАЛЬНОЕ ОПУБЛИКОВАНИЕ
Постановление Администрации Приморского края от 08.12.2015 № 474-па
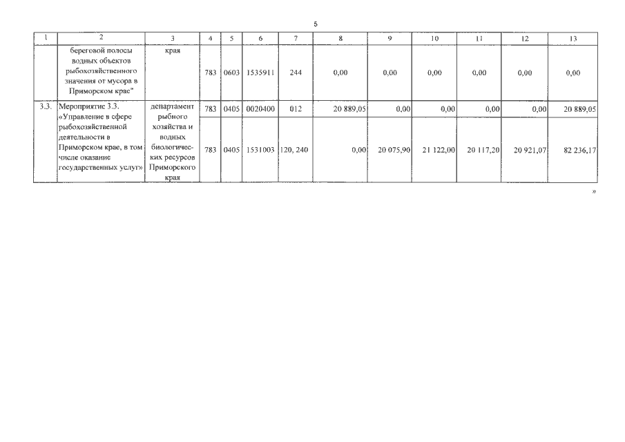
"О внесении изменений в постановление Администрации Приморского края от 7 декабря 2012 года № 389-па "Об утверждении государственной программы Приморского края "Развитие рыбохозяйственного комплекса в Приморском крае на 2013-2017 годы"
Номер опубликования: 2500201512080003
Дата опубликования: 08.12.2015
Страница №8 из 13:
Увеличить