Официальное опубликование правовых актов
ОФИЦИАЛЬНОЕ ОПУБЛИКОВАНИЕ
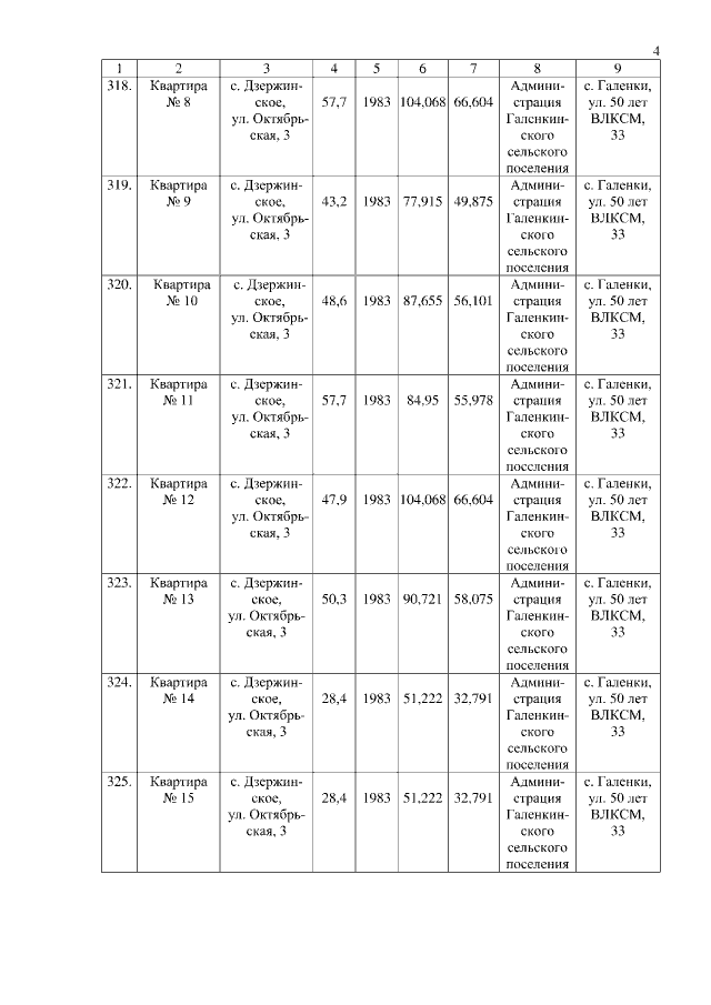
Закон Приморского края от 01.12.2015 № 715-КЗ
"О внесении изменений в Закон Приморского края "О разграничении объектов муниципальной собственности между сельскими поселениями Октябрьского муниципального района и Октябрьским муниципальным районом"
Номер опубликования: 2500201512020003
Дата опубликования: 02.12.2015
Страница №4 из 12:
Увеличить