Официальное опубликование правовых актов
ОФИЦИАЛЬНОЕ ОПУБЛИКОВАНИЕ
Постановление Администрации Приморского края от 12.11.2015 № 437-па
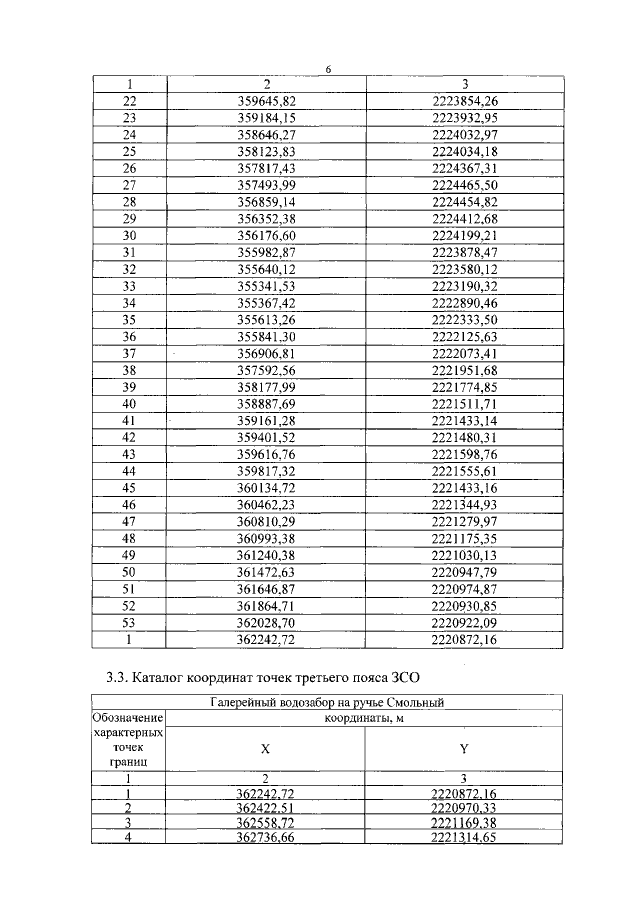
"Об утверждении проекта зоны санитарной охраны галерейного водозабора на ручье Смольный федерального государственного казённого учреждения комбинат "Взморье" Управления Федерального агентства по государственным резервам по Дальневосточному федеральному округу, расположенного в районе села Анисимовка Шкотовского муниципального района Приморского края, границ и режима зоны санитарной охраны галерейного водозабора на ручье Смольный федерального государственного казённого учреждения комбинат "Взморье" Управления Федерального агентства по государственным резервам по Дальневосточному федеральному округу, расположенного в районе села Анисимовка Шкотовского муниципального района Приморского края"
Номер опубликования: 2500201511170001
Дата опубликования: 17.11.2015
Страница №8 из 9:
Увеличить