Официальное опубликование правовых актов
ОФИЦИАЛЬНОЕ ОПУБЛИКОВАНИЕ
Постановление Администрации Приморского края от 12.11.2015 № 433-па
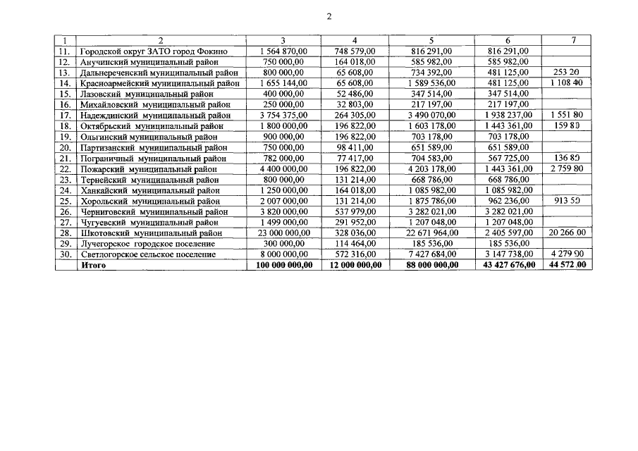
"О внесении изменений в постановление Администрации Приморского края от 11 сентября 2015 года № 343-па "О распределении субсидий из краевого бюджета бюджетам муниципальных образований Приморского края на поддержку муниципальных программ развития малого и среднего предпринимательства на 2015 год"
Номер опубликования: 2500201511120002
Дата опубликования: 12.11.2015
Страница №4 из 4:
Увеличить