Постановление Администрации Приморского края от 26.10.2015 № 413-па
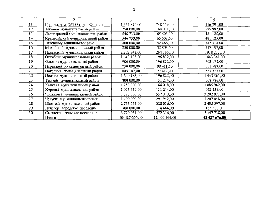
"О внесении изменений в постановление Администрации Приморского края от 11 сентября 2015 года № 343-па "О распределении субсидий из краевого бюджета бюджетам муниципальных образований Приморского края на поддержку муниципальных программ развития малого и среднего предпринимательства на 2015 год"
"О внесении изменений в постановление Администрации Приморского края от 11 сентября 2015 года № 343-па "О распределении субсидий из краевого бюджета бюджетам муниципальных образований Приморского края на поддержку муниципальных программ развития малого и среднего предпринимательства на 2015 год"
Номер опубликования: 2500201510270001
Дата опубликования:
27.10.2015
