Официальное опубликование правовых актов
ОФИЦИАЛЬНОЕ ОПУБЛИКОВАНИЕ
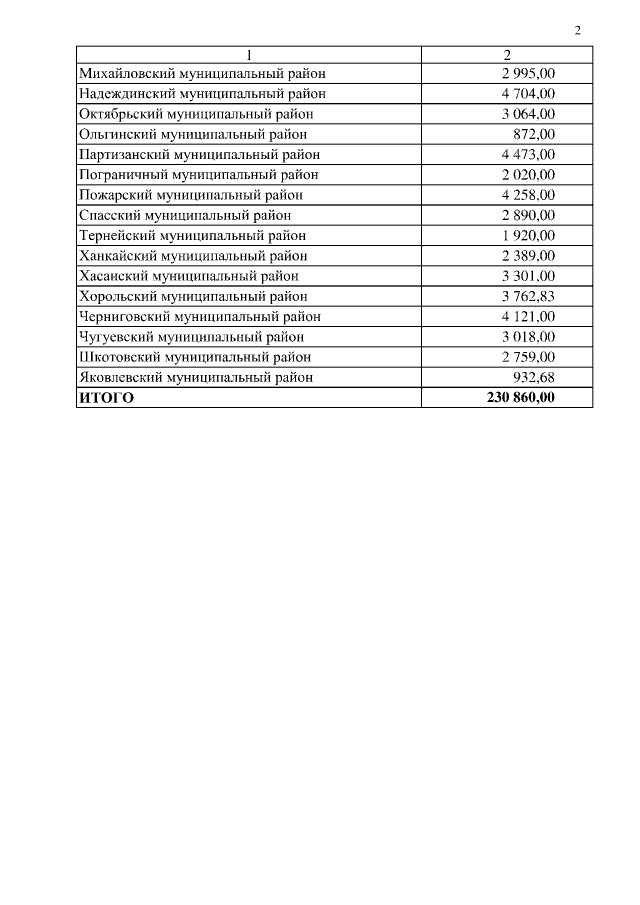
Закон Приморского края от 01.10.2015 № 670-КЗ
"О внесении изменений в Закон Приморского края "О краевом бюджете на 2015 год и плановый период 2016 и 2017 годов"
Номер опубликования: 2500201510010001
Дата опубликования: 01.10.2015
Страница №894 из 900:
Увеличить