Официальное опубликование правовых актов
ОФИЦИАЛЬНОЕ ОПУБЛИКОВАНИЕ
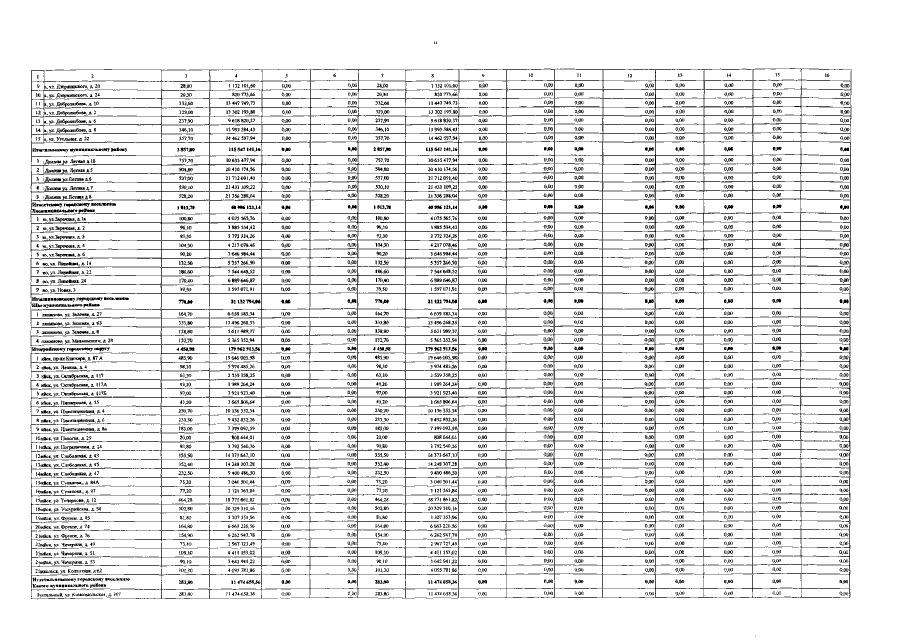
Постановление Администрации Приморского края от 21.08.2015 № 300-па
"О внесении изменений в постановление Администрации Приморского края от 7 декабря 2012 года № 398-па "Об утверждении государственной программы Приморского края "Обеспечение доступным жильем и качественными услугами жилищно-коммунального хозяйства населения Приморского края" на 2013-2017 годы"
Номер опубликования: 2500201508260004
Дата опубликования: 26.08.2015
Страница №89 из 90:
Увеличить