Официальное опубликование правовых актов
ОФИЦИАЛЬНОЕ ОПУБЛИКОВАНИЕ
Постановление Администрации Приморского края от 13.08.2015 № 281-па
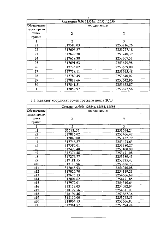
"Об утверждении проекта зоны санитарной охраны скважинного водозабора на участке "Глинка" для водоснабжения "Первой очереди трубопроводной системы "Восточная Сибирь - Тихий Океан. СпецМорНефтеПорт "Козьмино", границ и режима зоны санитарной охраны скважинного водозабора на участке "Глинка" для водоснабжения "Первой очереди трубопроводной системы "Восточная Сибирь - Тихий Океан. СпецМорНефтеПорт "Козьмино"
Номер опубликования: 2500201508170003
Дата опубликования: 17.08.2015
Страница №9 из 9:
Увеличить