Официальное опубликование правовых актов
ОФИЦИАЛЬНОЕ ОПУБЛИКОВАНИЕ
Постановление Администрации Приморского края от 04.08.2015 № 269-па
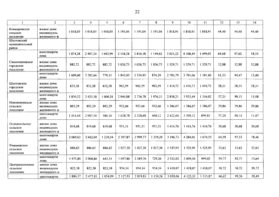
"О внесении изменений в постановление Администрации Приморского края от 26 мая 2015 года № 157-па "О региональных стандартах стоимости жилищно-коммунальных услуг на 2015 год"
Номер опубликования: 2500201508040002
Дата опубликования: 04.08.2015
Страница №37 из 61:
Увеличить