Официальное опубликование правовых актов
ОФИЦИАЛЬНОЕ ОПУБЛИКОВАНИЕ
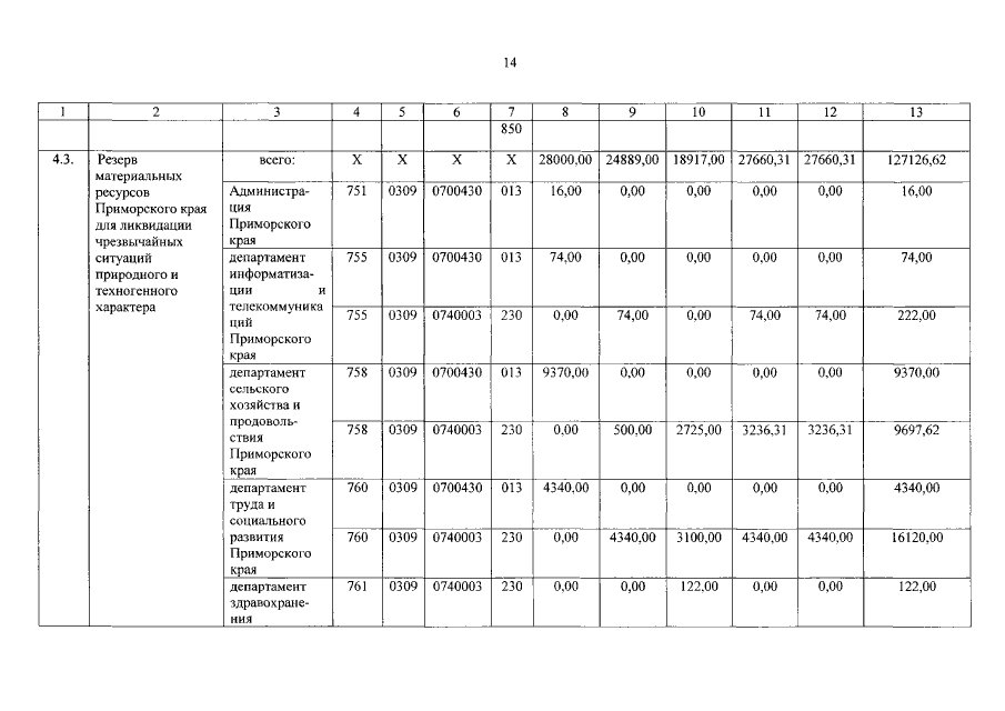
Постановление Администрации Приморского края от 30.07.2015 № 266-па
"О внесении изменений в постановление Администрации Приморского края от 07 декабря 2012 года № 386-па "Об утверждении государственной программы Приморского края "Защита населения и территории от чрезвычайных ситуаций, обеспечение пожарной безопасности и безопасности людей на водных объектах Приморского края" на 2013 – 2017 годы"
Номер опубликования: 2500201507310001
Дата опубликования: 31.07.2015
Страница №59 из 94:
Увеличить