Официальное опубликование правовых актов
ОФИЦИАЛЬНОЕ ОПУБЛИКОВАНИЕ
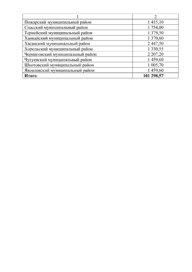
Закон Приморского края от 23.06.2015 № 646-КЗ
"О внесении изменений в Закон Приморского края "О краевом бюджете на 2015 год и плановый период 2016 и 2017 годов"
Номер опубликования: 2500201506290003
Дата опубликования: 29.06.2015
Страница №512 из 525:
Увеличить