Официальное опубликование правовых актов
ОФИЦИАЛЬНОЕ ОПУБЛИКОВАНИЕ
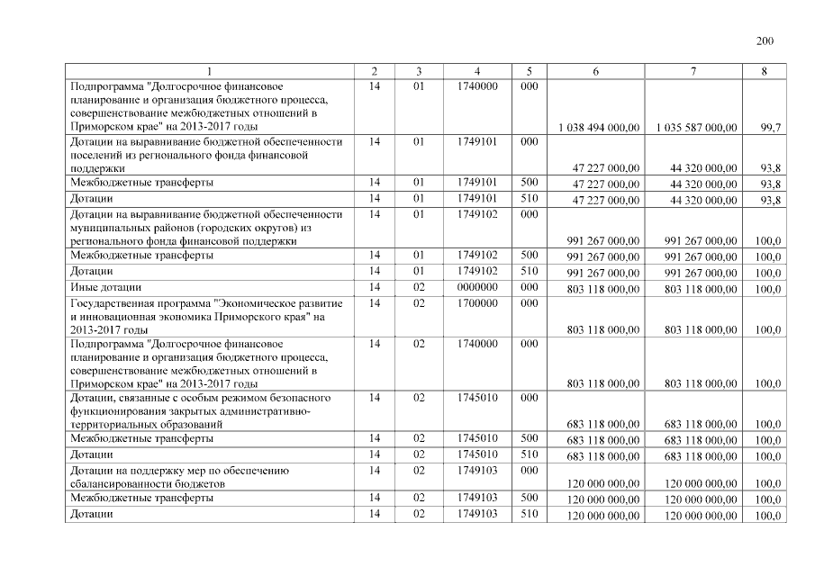
Закон Приморского края от 23.06.2015 № 647-КЗ
"Об исполнении краевого бюджета за 2014 год"
Номер опубликования: 2500201506290001
Дата опубликования: 29.06.2015
Страница №1071 из 1230:
Увеличить