Официальное опубликование правовых актов
ОФИЦИАЛЬНОЕ ОПУБЛИКОВАНИЕ
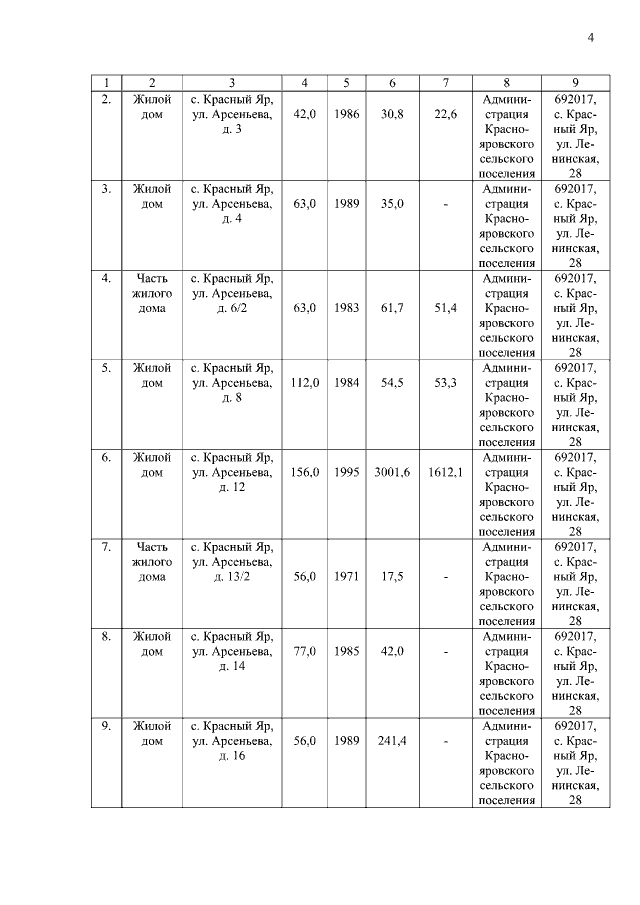
Закон Приморского края от 04.02.2015 № 552-КЗ
"О разграничении объектов муниципальной собственности между сельскими поселениями Пожарского муниципального района и Пожарским муниципальным районом"
Номер опубликования: 2500201502090012
Дата опубликования: 09.02.2015
Страница №77 из 165:
Увеличить