Официальное опубликование правовых актов
ОФИЦИАЛЬНОЕ ОПУБЛИКОВАНИЕ
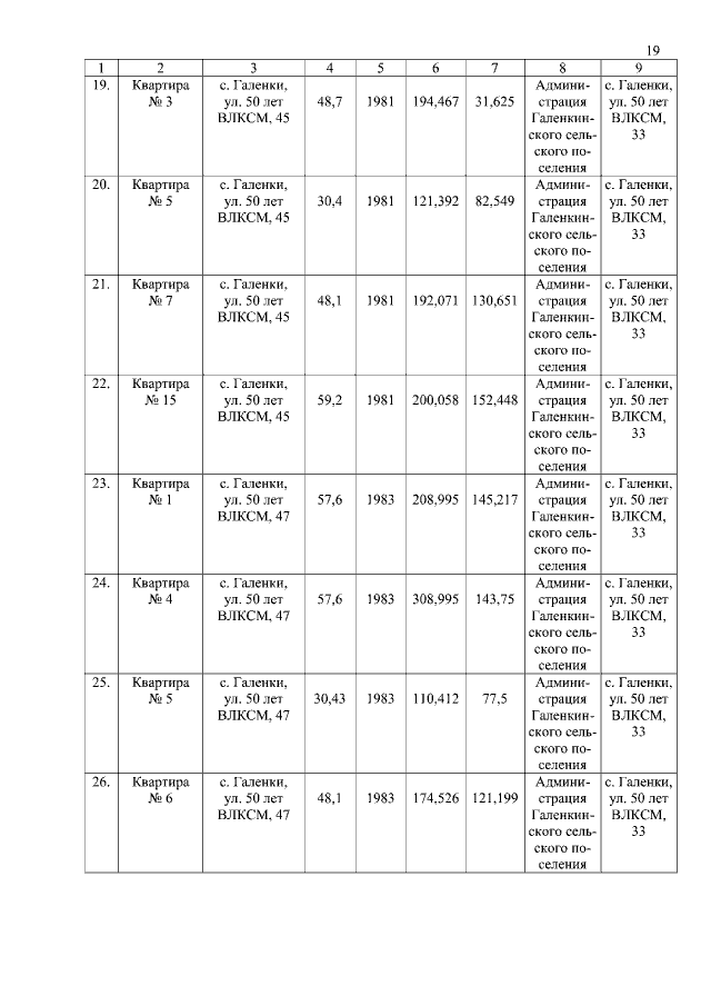
Закон Приморского края от 04.02.2015 № 555-КЗ
"О разграничении объектов муниципальной собственности между сельскими поселениями Октябрьского муниципального района и Октябрьским муниципальным районом"
Номер опубликования: 2500201502090011
Дата опубликования: 09.02.2015
Страница №21 из 251:
Увеличить