Официальное опубликование правовых актов
ОФИЦИАЛЬНОЕ ОПУБЛИКОВАНИЕ
Приказ министерства образования Красноярского края от 29.05.2025 № 37-11-04
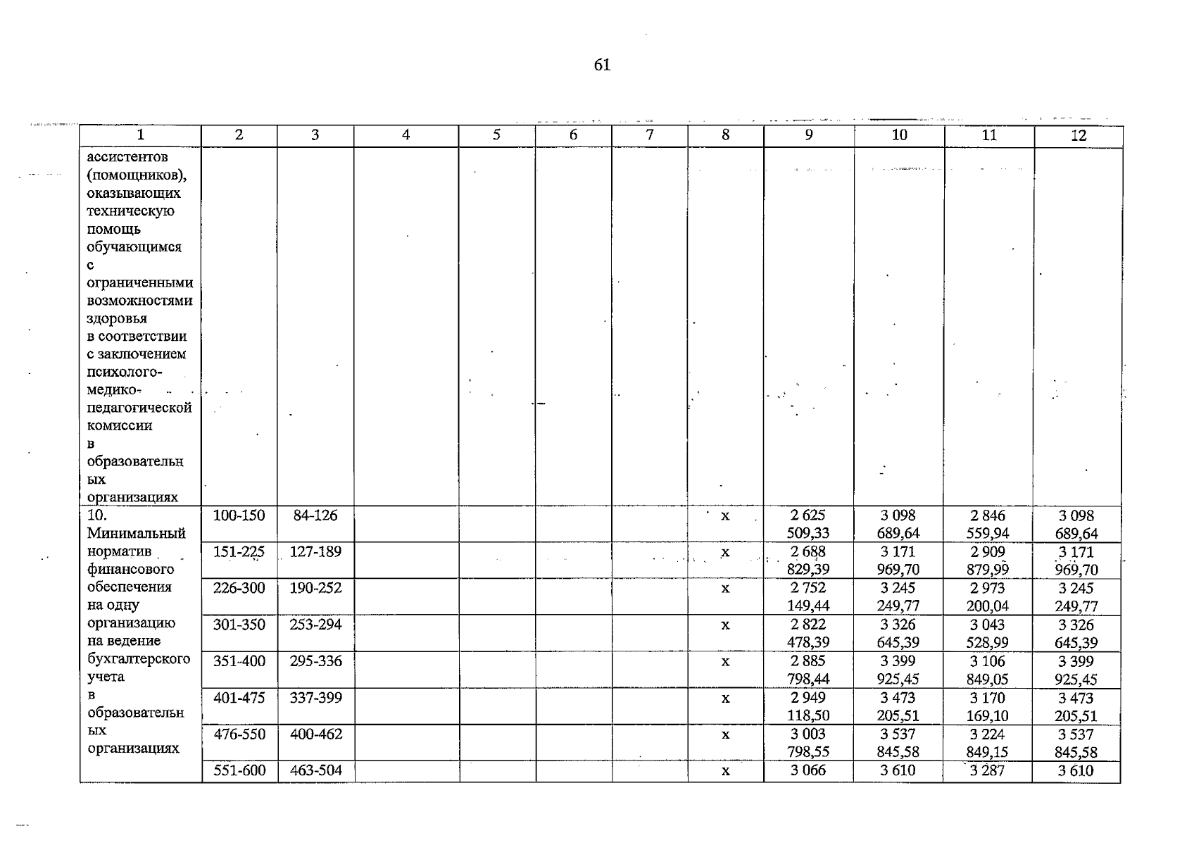
"Об утверждении нормативов обеспечения реализации основных и дополнительных общеобразовательных программ в расчете на одного обучающегося (один класс, класс-комплект) муниципальных общеобразовательных организаций, расположенных на территории Красноярского края, и нормативов обеспечения деятельности административно-хозяйственного, учебно-вспомогательного персонала и иных категорий работников образовательных организаций, участвующих в реализации общеобразовательных программ в соответствии с федеральными государственными образовательными стандартами, в расчете на одного обучающегося (один класс, класс-комплект) муниципальных общеобразовательных организаций, расположенных на территории Красноярского края"
(Зарегистрирован 29.05.2025 № 828)
Номер опубликования: 2401202506020003
Дата опубликования: 02.06.2025
Страница №141 из 192:
Увеличить