Официальное опубликование правовых актов
ОФИЦИАЛЬНОЕ ОПУБЛИКОВАНИЕ
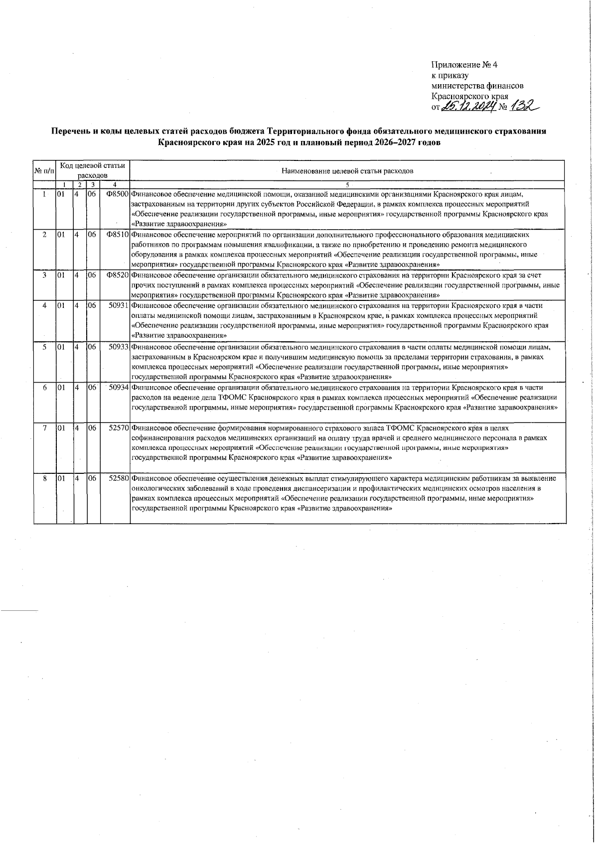
Приказ министерства финансов Красноярского края от 25.12.2024 № 132
"Об отдельных кодах бюджетной классификации"
(Зарегистрирован 25.12.2024 № 2370)
Номер опубликования: 2401202412270001
Дата опубликования: 27.12.2024
Страница №76 из 79:
Увеличить