Официальное опубликование правовых актов
ОФИЦИАЛЬНОЕ ОПУБЛИКОВАНИЕ
Приказ министерства транспорта Красноярского края от 21.06.2022 № 83-42п
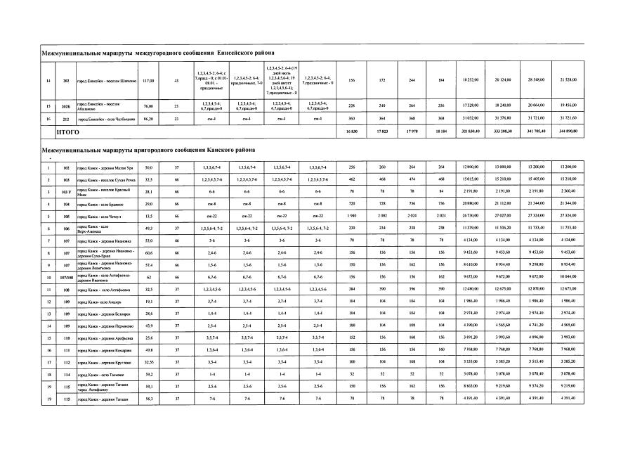
"О внесении изменений в приказ министерства транспорта Красноярского края от 06.12.2021 № 6/71-Н "Об утверждении программы пассажирских перевозок автомобильным транспортом по межмуниципальным маршрутам регулярных перевозок в пригородном и междугородном сообщении, соединяющим населенные пункты, расположенные в границах муниципального района, муниципального округа, с их административными центрами, находящимися на территориях соответствующих городских округов, субсидируемых из краевого бюджета в 2022 году"
Номер опубликования: 2401202206290002
Дата опубликования: 29.06.2022
Страница №10 из 11:
Увеличить