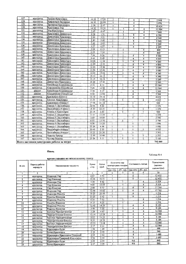
Приказ министерства транспорта Красноярского края от 22.02.2022 № 83-9п
"О внесении изменения в приказ министерства транспорта Красноярского края от 22.10.2021 № 6/61-Н "Об утверждении программы пассажирских перевозок железнодорожным транспортом в пригородном сообщении, субсидируемых из краевого бюджета в 2022 году"
"О внесении изменения в приказ министерства транспорта Красноярского края от 22.10.2021 № 6/61-Н "Об утверждении программы пассажирских перевозок железнодорожным транспортом в пригородном сообщении, субсидируемых из краевого бюджета в 2022 году"
Номер опубликования: 2401202202240001
Дата опубликования:
24.02.2022
