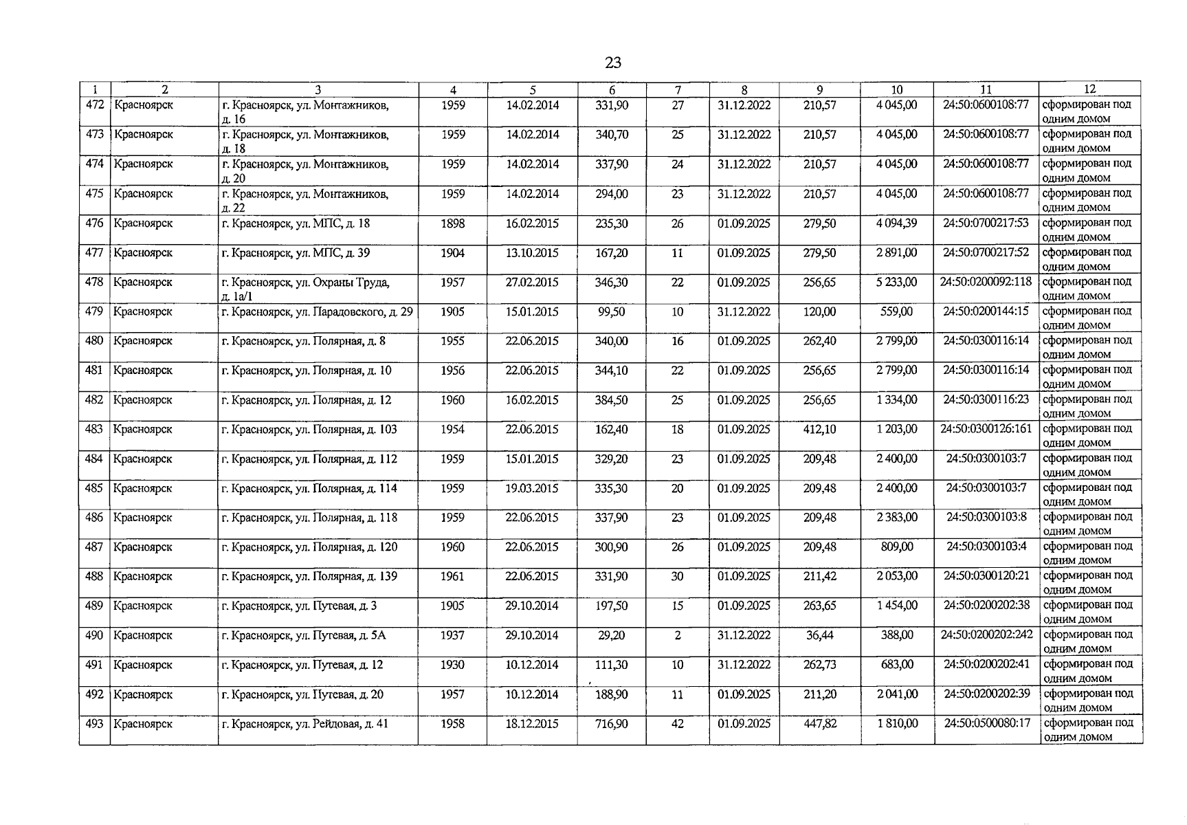
Постановление Правительства Красноярского края от 05.02.2026 № 110-п
"О внесении изменений в постановление Правительства Красноярского края от 29.03.2019 № 144-п "Об утверждении региональной адресной программы "Переселение граждан из аварийного жилищного фонда в Красноярском крае" на 2019—2025 годы"
"О внесении изменений в постановление Правительства Красноярского края от 29.03.2019 № 144-п "Об утверждении региональной адресной программы "Переселение граждан из аварийного жилищного фонда в Красноярском крае" на 2019—2025 годы"
Номер опубликования: 2400202602100004
Дата опубликования:
10.02.2026
