Официальное опубликование правовых актов
ОФИЦИАЛЬНОЕ ОПУБЛИКОВАНИЕ
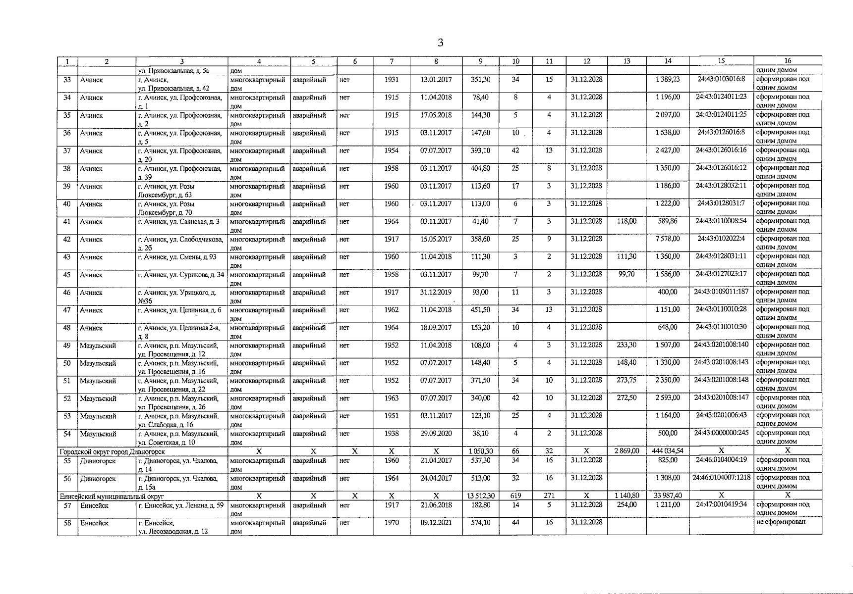
Постановление Правительства Красноярского края от 05.02.2026 № 111-п
"О внесении изменений в постановление Правительства Красноярского края от 24.09.2025 № 809-п "Об утверждении региональной адресной программы "Переселение граждан из аварийного жилищного фонда в Красноярском крае" на 2025—2028 годы"
Номер опубликования: 2400202602100001
Дата опубликования: 10.02.2026
Страница №5 из 23:
Увеличить