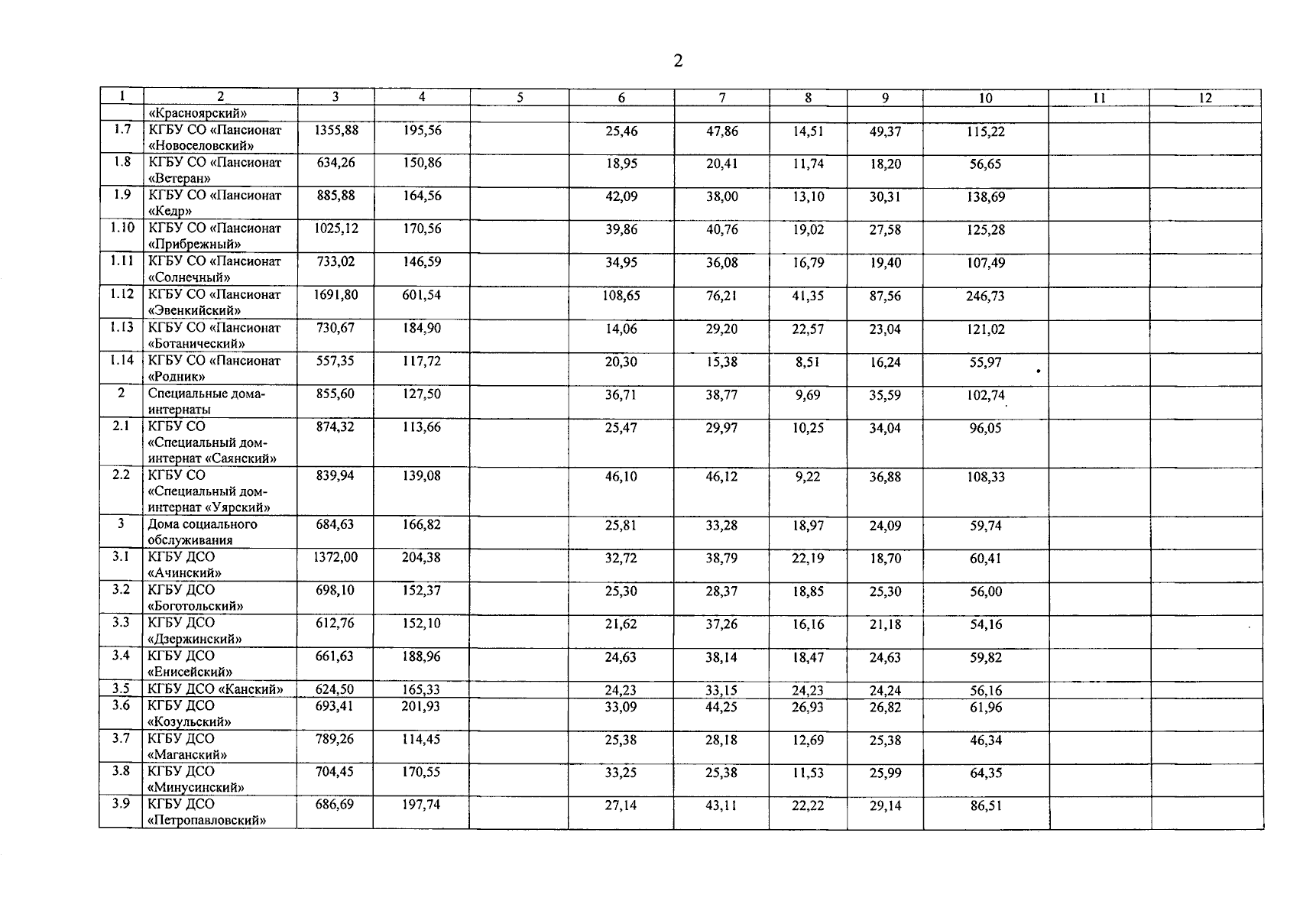
Постановление Правительства Красноярского края от 09.12.2025 № 1130-п
"О внесении изменений в постановление Правительства Красноярского края от 30.06.2015 № 330-п "Об утверждении тарифов на социальные услуги, предоставляемые поставщиками социальных услуг на территории Красноярского края"
"О внесении изменений в постановление Правительства Красноярского края от 30.06.2015 № 330-п "Об утверждении тарифов на социальные услуги, предоставляемые поставщиками социальных услуг на территории Красноярского края"
Номер опубликования: 2400202512120001
Дата опубликования:
12.12.2025
