Официальное опубликование правовых актов
ОФИЦИАЛЬНОЕ ОПУБЛИКОВАНИЕ
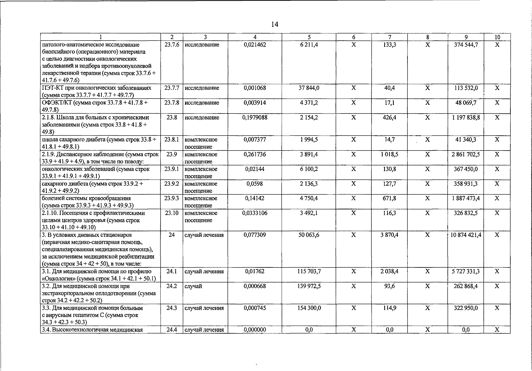
Постановление Правительства Красноярского края от 25.11.2025 № 1054-п
"О внесении изменений в постановление Правительства Красноярского края от 24.12.2024 № 1057-п "Об утверждении Территориальной программы государственных гарантий бесплатного оказания гражданам медицинской помощи в Красноярском крае на 2025 год и на плановый период 2026 и 2027 годов"
Номер опубликования: 2400202512020002
Дата опубликования: 02.12.2025
Страница №26 из 62:
Увеличить